https://www.acmicpc.net/problem/12851
12851번: 숨바꼭질 2
수빈이는 동생과 숨바꼭질을 하고 있다. 수빈이는 현재 점 N(0 ≤ N ≤ 100,000)에 있고, 동생은 점 K(0 ≤ K ≤ 100,000)에 있다. 수빈이는 걷거나 순간이동을 할 수 있다. 만약, 수빈이의 위치가 X일 때
www.acmicpc.net
from collections import deque
N,K = map(int,input().split())
MAX = 100000+1
def bfs(N,K):
visited = [0]*(MAX)
visited[N] = 1
time = 0
min_time = MAX
cnt= 0
q = deque([[N,time]])
while q:
x,t = q.popleft()
# print("x,t,cnt : ",x,t,cnt)
visited[x] = 1
if t > min_time:
continue
if x==K:
if min_time == t:
cnt+=1
elif min_time == MAX:
min_time = t
cnt+=1
else:
for nx in [x-1,x+1,2*x]:
if 0> nx or nx>=MAX:
continue
if visited[nx]:
continue
q.append([nx,t+1])
return min_time,cnt
if N >= K:
print(N-K)
print(1)
else:
min_time, ways =bfs(N,K)
print(min_time)
print(ways)
풀이
방문한 곳을 2번이상 방문하지 않고 최단시간내에 도착지까지 가야하기 때문에 BFS 로 푼다.
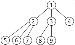
이해가 안가면 아래 그림을 보자

그래프가 3진트리 구조라고 생각하자. 자식노드들은 부모노드의 +1,-1, *2로 구성되어 있는 것이다.
예를들어 2로 시작한다면
2 (0단계) -> 1,3,4(1단계) -> 0,2,2,2,4,6,3,5,8 (2단계) -> ...
이런식으로 그래프가 만들어지는 것이다.
여기서 방문한 것들은 제외하면서 쭉 목적지를 찾을 때까지 진행하면 bfs 이다.
여기서 걸리는 최소 시간은 K를 N단계에서 찾았을 때 최소시간이 곧 N이다.
경로의 방법의 수는 N단계에서 찾았을 때 N단계에 있는 노드들 중 K의 수이다.
머리속으로 여기까지 생각하고 구현을 하였는데 구현에서 헷갈렸다.
항상 visited처리를 q에 push하면서 처리했는데 여기서는 pop할 때 visited를 처리해 줌으로서
N단계에 있는 모든 노드를 탐색할 수 있었다.
시간복잡도
N을 모두 탐색하니 O(N) 이다.
'알고리즘 문제풀이' 카테고리의 다른 글
| [백준 18405] 경쟁적 전염 (0) | 2021.05.12 |
|---|---|
| [백준 1034] 램프 (0) | 2021.05.12 |
| [백준 1027] 고층 건물 (0) | 2021.05.12 |
| [백준 1004] 어린왕자 (0) | 2021.05.12 |
| [백준 15954] 인형들 (0) | 2021.05.11 |